多做题,通过考试没问题!
环境科学技术及资源科学技术
睦霖题库
>
大学试题(理学)
>
环境科学技术及资源科学技术
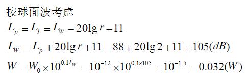
在半自由声场空间中离点声源2m处测得声压的平均值为88dB求其声功率级和声功率;
正确答案:
答案解析:
有
进入题库查看解析
微信扫一扫手机做题
最新试题
·
单层匀质墙隔声的频率特性曲线的三个部分分
·
地铁振动在土壤介质传播中获得的衰减由()
·
放射性废物来源按使用方法分,主要有()、
·
真空中能否传播声波?为什么?
·
吸声系数
·
简述热环境的概念及其热量来源。
·
振动污染源可分为()和()。
·
屏蔽
·
简述热污染的概念和类型
·
简述隔声措施选择原则。
热门试题
·
噪声按空间分布形式来分类,可分为()
·
简述噪声特性的方法。
·
简述消声器的分类。
·
简述什么是光环境及其影响因素。
·
简述什么是电磁污染,电磁污染的分类及各有
·
不得不在室内进行噪声测量时,测点距墙面和
·
驰豫
·
简述振动的劳动保护标准按振动强弱对人体影
·
放射性废气中主要的挥发性放射性核素碘同位
·
简述抗性消声器的消声机理。