多做题,通过考试没问题!

理财规划师

睦霖题库>金融理财>理财规划师(二级)

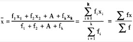
加权法算均值,可以在次数分布表的基础上采用加权法计算平均数,计算公式为:,对其中代数符号认识正确的有()。

  • A、xi--第i组的加权平均值
  • B、fi--第i组的次数
  • C、k-分组数
  • D、第i组的次数fi是权衡第i组组中值xi在资料中所占比重大小的数量
  • E、以上说法都正确
正确答案:B,C,D
答案解析:
进入题库查看解析

微信扫一扫手机做题