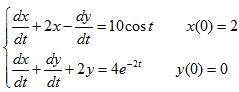
求常微分方程组
通解的MATLAB程序。
正确答案:
(>> dsolve('Dx+2*x-Dy=10*cos(t)','Dx+Dy+2*y=4*exp(-2*t)','x(0)=2','y(0)=0','t')
ans = x: [1x1 sym] y: [1x1 sym]
>> s=dsolve('Dx+2*x-Dy=10*cos(t)','Dx+Dy+2*y=4*exp(-2*t)','x(0)=2','y(0)=0','t')
s = x: [1x1 sym] y: [1x1 sym]
>> s.x
ans =-2*exp(-t)*sin(t)+4*cos(t)+3*sin(t)-2*exp(-2*t) plot(x,y)
ans = x: [1x1 sym] y: [1x1 sym]
>> s=dsolve('Dx+2*x-Dy=10*cos(t)','Dx+Dy+2*y=4*exp(-2*t)','x(0)=2','y(0)=0','t')
s = x: [1x1 sym] y: [1x1 sym]
>> s.x
ans =-2*exp(-t)*sin(t)+4*cos(t)+3*sin(t)-2*exp(-2*t) plot(x,y)
答案解析:有

微信扫一扫手机做题
