多做题,通过考试没问题!
MATLAB语言考试
睦霖题库
>
其他计算机考试
>
MATLAB语言考试
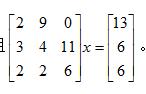
解方程组
正确答案:
>>a=[2 9 0;3 4 11;2 2 6];
>>b=[1 3 6 6]’;
>>x=a/b
x=
7.4000
-0.2000
-1.4000
答案解析:
有
进入题库查看解析
微信扫一扫手机做题
最新试题
·
存储在工作空间中的数组能编辑吗?如何操作
·
在MATLAB中有几种获得帮助的途径?
·
计算的数组乘积。
·
表中列出了4个观测点的6次测量数据,将数
·
GUI开发环境中提供了哪些方便的工具?各
·
MATLAB操作桌面有几个窗口?如何使某
·
矩阵,计算a的行列式和逆矩阵。
·
建立一个简单模型,用信号发生器产生一个幅
·
在sin(x)运算中,x是角度还是弧度?
·
求矩阵的行列式值、逆和特征根。
热门试题
·
判断下面MATLAB 7.0语句的结果
·
有一正弦衰减数据y=sin(x).*ex
·
因式分解:
·
编写M函数统计十进制数值中“0”的个数,
·
计算多项式乘法(x
2
·
利用基本矩阵产生3*3和15*8的单位矩
·
角度求x的正弦、余弦、正切和余切。
·
设x,y,z均为正整数,求下列不定方程组
·
将(x-6)(x-3)(x-8)展开为系
·
已知,当n=100时,求y的值。令s0=