多做题,通过考试没问题!
MATLAB语言考试
睦霖题库
>
其他计算机考试
>
MATLAB语言考试
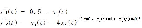
微分方程组
求微分方程组t~【0,25】上的解,并画出x
1
-x
2
的系统轨迹。
正确答案:
答案解析:
有
进入题库查看解析
微信扫一扫手机做题
最新试题
·
求代数方程的根。
·
求解在在的值。
·
求的共轭转置。
·
求的算术运算结果。
·
编写程序完成从表示字符的响亮中删去空格,
·
创建符号变量有几种方法?
·
计算表达式的梯度并绘图。
·
若只知要搜索函数的前两个字母,可用()命
·
绘制饼图。
·
创建一个结构型变量,用于对某学生情况进行
热门试题
·
绘制极坐标下sin(3*t)*cos(t
·
有一正弦衰减数据y=sin(x).*ex
·
输入一个百分制成绩,要求输出成绩等级A
·
编写M函数统计十进制数值中“0”的个数,
·
如果x是一个结构型数组,如何观察其中的内
·
求解多项式x
3
-7
·
分别用多项式和指数函数进行拟合。
·
求矩阵的逆矩阵和行列式。
·
如何定义全局变量?
·
求下列分段函数的值: 要求:用if语句