多做题,通过考试没问题!
环境科学技术及资源科学技术
睦霖题库
>
大学试题(理学)
>
环境科学技术及资源科学技术
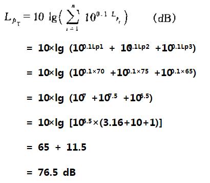
三个声音各自在空间某点的声压级为70dB、75dB和65dB,求该点的总声压级。
正确答案:
三个声音互不相干,由n个声源级的叠加计算公式:
该点的总声压级为76.5dB。
答案解析:
有
进入题库查看解析
微信扫一扫手机做题
最新试题
·
简述光污染的控制措施。
·
可听声的频率范围为20~20000Hz,
·
简述环境在放射性的主要来源。
·
A声级
·
在半自由声场空间中离点声源2m处测得声压
·
简述阻性消声器的消声原理。
·
进行噪声测量时,用()作为评价量,累积百
·
常用的阻尼减振方法有()和()两种。
·
振动可分为()和()两种类型。
·
噪声评价
热门试题
·
隔声间有一面积为25m
2
·
气电放电光源
·
设有三种频率分别为8Hz、18Hz、25
·
语言干扰级
·
光污染三种类型:()、()、()。
·
静止电荷周围的电场称为(),运动电荷周围
·
若实习生永发每天工作8小时,请问永发接触
·
自由声场
·
以场源为零点或中心,在1/6波长范围之内
·
隔声