多做题,通过考试没问题!
电子与通信技术
睦霖题库
>
大学试题(工学)
>
电子与通信技术
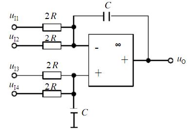
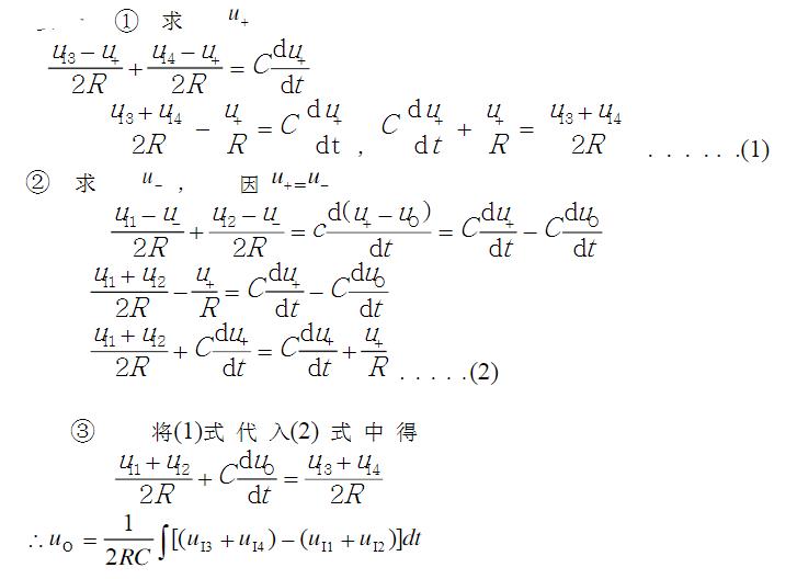
电路如图所示,求输出电压u
O
与输入电压u
I1
,u
I2
,u
I3
,u
I4
,之间关系的表达式。
正确答案:
答案解析:
有
进入题库查看解析
微信扫一扫手机做题
最新试题
·
电路如图所示,运算放大器的饱和电压为±1
·
电路如图所示,R1=10kΩ
·
电路如图所示,若输入电压u
i<
·
电路如图所示,输入为u
i
·
电路如图所示,已知R1=R2=R3=R4
·
电路如图所示,设电阻R1=R2=R3=R
·
电路如图所示,输入电压ui=1V,其正确
·
电路如图所示,求输出电压u
O<
·
电路如图1所示,R1=R
F
·
电路如图所示,R
F
热门试题
·
电路如图所示,求输出电压u
O<
·
电路如图所示,当R
L
·
电路如图所示,求输出电压u
O<
·
电路如图所示,求输出电压u
O<
·
双向稳压管的稳定电压为±U
Z<
·
电路如图所示,求输出电压u
O<
·
图示集成运算放大器,输入端与输出端的相位
·
某报警装置电路如图1所示,U
R
·
电路如图所示,要求: 当R1=R
·
电路如图所示,要求 写出输出电压u