多做题,通过考试没问题!
军转干考试
睦霖题库
>
其他招录考试
>
军转干考试
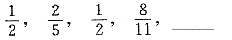
()
A、
B、
C、
D、
正确答案:
A
答案解析:
有
进入题库查看解析
微信扫一扫手机做题
最新试题
·
强化监管,做到阳光扶贫、廉洁扶贫。要健全
·
党章规定的“四个服从”,既是党最基本的(
·
改革开放以来,我国不断大力发展高新技术产
·
刑事审判监督
·
2018年6月9日至10日,上海合作组织
·
公共管理产生和存在的基础是()。
·
屈原是我国战国时期哪国人?()
·
依据国际组织的不同分类标准,国际奥林匹克
·
科教兴国战略的含义包括()。
·
试述机关管理行为的法律责任及其要求。
热门试题
·
确定预算管理形式的原则有()。
·
郁达夫的流露隐逸思想的小说是()
·
变量依据法所研究的对象是()
·
人员配备
·
下列哪项不是公共管理的特征?()
·
党员干部的配偶、子女及其配偶不实际工作而
·
简述行政执行的特点。
·
全国人民代表大会会议每年举行一次。如果全
·
文官制度正式确立于()
·
习近平总书记关于改革方法论的论述十分丰富