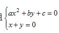
求代数方程组
关于x,y的解。
正确答案:
>> S=solve('a*x^2+b*y+c=0','b*x+c=0','x','y');
>> disp('S.x=') , disp(S.x)
>> disp('S.y=') , disp(S.y)
S.x=
-c/b
S.y=
-c*(a*c+b^2)/b^3
>> disp('S.x=') , disp(S.x)
>> disp('S.y=') , disp(S.y)
S.x=
-c/b
S.y=
-c*(a*c+b^2)/b^3
答案解析:有

微信扫一扫手机做题
