多做题,通过考试没问题!
环境科学技术及资源科学技术
睦霖题库
>
大学试题(理学)
>
环境科学技术及资源科学技术
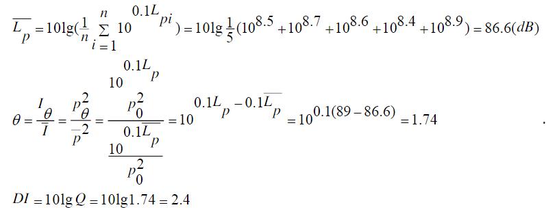
在一台机器半球辐射面上的5个测点,测得声压级如下表所示。计算第5测点的指向性指数和指向性因数。
正确答案:
答案解析:
有
进入题库查看解析
微信扫一扫手机做题
最新试题
·
不使用吸声材料,而是利用管道截面的突变或
·
化学去污的方法有哪些?特点及优缺点是什么
·
倍频程的每个频带的上限频率与下限频率之比
·
质量1700kg转速1200rpm的空气
·
车辆减振措施可分为()和()。
·
光源分为()和()。
·
稳态噪声是指在()内,声级起伏不大于()
·
试述天然光环境评价的主要内容。
·
什么是电磁辐射污染?电磁污染源可分为哪几
·
简述放射性废液常用的处理技术(原理)及适
热门试题
·
噪声控制方法总体上分为()和()两种。
·
热环境
·
真空中能否传播声波?为什么?
·
热污染分为()污染和()污染。
·
简述什么是电磁污染,电磁污染的分类及各有
·
隔声间有一面积为25m
2
·
光污染
·
简述振动污染特点。
·
放射性气体处理有哪些方法?存在什么问题?
·
试述人工光环境评价的标准及主要内容