多做题,通过考试没问题!
动力与电气工程
睦霖题库
>
大学试题(工学)
>
动力与电气工程
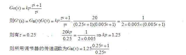
有一单位负反馈系统,已知系统的开环传递函数为
,要求将系统校正成典型Ⅰ型系统,试选择调节器类型并计算参数。
正确答案:
根据系统的调节对象类型选择PI调节器进行串联校正,设PI调节器的传递函数为
答案解析:
有
进入题库查看解析
微信扫一扫手机做题
最新试题
·
在潮湿、尘土多、有腐蚀性气体、易引起火灾
·
电磁耦合是机电能量转换的必要条件,电流与
·
在无静差调速系统中,为什么要引入PI调节
·
转差功率不变型——变频调速方法转差功率很
·
直流电机的电枢由励磁绕组、电枢绕组、换向
·
试举出几种你所知道的交流调速方案,并指出
·
直接转矩控制是()。
·
晶闸管的额定电流(通态平均电流)为100
·
何为电流截止负反馈?
·
永磁同步电动机自控变频调速中,需增设位置
热门试题
·
调速系统的调速范围是指电动机在理想空载条
·
根据交流电动机的转速表达式,可归纳出交流
·
反馈控制系统的作用是:抵抗扰动,()。
·
直流电机的定子是由机座、()、换向磁极、
·
通风机的电力拖动系统属于单轴拖动系统。
·
双闭环系统与单闭环系统的差别在于多了一个
·
负载转矩可分为反抗转矩和电磁转矩两大类。
·
反馈控制系统的作用是:抵抗(),服从()
·
电枢绕组的作用是实现能量转换。
·
调速范围与静态速降和最小静差率之间有什么