多做题,通过考试没问题!
环境科学技术及资源科学技术
睦霖题库
>
大学试题(理学)
>
环境科学技术及资源科学技术
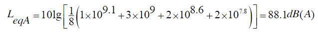
某工人在91dB(A)下工作1h;在90dB(A)下工作3h;在86 dB(A)下工作2h,其余时间在78 dB(A)以下工作。计算等效连续A声级。
正确答案:
答案解析:
有
进入题库查看解析
微信扫一扫手机做题
最新试题
·
列声波始终以相反相位到达,两列相干波声波
·
什么是电磁辐射污染?电磁污染源可分为哪几
·
质量1700kg转速1200rpm的空气
·
电场的水平分量和垂直分量的振幅相位都不相
·
响度级为70方时,其响度为()
·
简述微穿孔板消声器的消声原理。
·
具有相同频率、相同振动方向和固定相位差的
·
辐射对人体的作用和危害是什么?
·
适当的隔声措施有隔声墙、隔声屏障、隔声罩
·
隔声
热门试题
·
噪声污染属于(),污染的特点是具有()、
·
阻尼层的特性一般用材料的()来衡量。
·
简述阻性消声器的消声原理。
·
简述为什么声音在晚上要比晴朗的白天传播的
·
简述环境噪声监测的基本任务。
·
吻合效应
·
若一线工人每天工作6小时,其接触连续波容
·
静止电荷周围的电场称为(),运动电荷周围
·
建筑施工场界噪声测量中,规定的噪声敏感区
·
振动污染