多做题,通过考试没问题!
注册电气工程师
睦霖题库
>
其他建筑考试
>
注册电气工程师
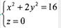
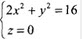
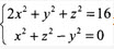
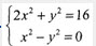
空间曲线
在xOy平面的投影方程是()。
A、
B、
C、x+2y2=16
D、
正确答案:
D
答案解析:
有
进入题库查看解析
微信扫一扫手机做题
最新试题
·
下列关于机器语言的说法中,错误的是()。
·
单相半波整流电路中流过二极管的正向电流的
·
一台电力变压器,容量为120MVA,低压
·
需求分析通常采用用户调研的方式进行,以下
·
出于运行的安全可靠性考虑,离心泵不宜采用
·
在2区爆炸气体环境内电缆线路()有中间接
·
某电厂220kV双母线单分段接线,二回发
·
在火灾自动报警系统报警设备设计中,选择正
·
直流配电屏的设计中,下列各条中不符合规定
·
蜡烛燃烧有如下变化:①蜡烛燃烧②蜡烛气化
热门试题
·
SF6断路器主要优点有哪些?
·
高压断路器的最高工作电压是指()
·
在有接地系统及低电阻接地系统中,变电所电
·
理想光学系统中,与像方焦点共轭的物点是(
·
在TN-C-S系统中终端用户的漏电保护P
·
符合下列()条件时可以选用普通高效电动机
·
电力系统分析中,无功功率的单位是()。
·
当UPS输出端的隔离变压器为TN-S、T
·
机具和安全工器具入库、出库、使用前应检查
·
有彩电转播的体育建筑乒乓球项目1.0m垂