多做题,通过考试没问题!
环境科学技术及资源科学技术
睦霖题库
>
大学试题(理学)
>
环境科学技术及资源科学技术
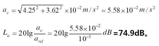
将两台机器先后开动,由某一测点测量其震荡,得知速度有效值分别为4.25g和3.62g,求两台机器同时开动时的加速度级(1g为10
-2
m/s
2
)。
正确答案:
答案解析:
有
进入题库查看解析
微信扫一扫手机做题
最新试题
·
听阈迁移
·
简述振动的劳动保护标准按振动强弱对人体影
·
论述电磁辐射防护的基本方法。
·
声波在空气中是以()的形式传播的,在固体
·
简谐振动
·
固体放射性废物的分类有哪些特点?
·
简述消声措施的选择原则。
·
某车间一端的操作室与声源的隔墙面积为20
·
在空气中离点声源2m距离处测得声压p=0
·
计权网络的特性曲线近似于()等响曲线的倒
热门试题
·
通过测量,已知空气中某点处照射量为6.4
·
稳态噪声是指在()内,声级起伏不大于()
·
电磁辐射防治的基本方法有()、()和()
·
地铁振动在土壤介质传播中获得的衰减由()
·
简述防治城市噪声污染的措施。
·
阻尼层的特性一般用材料的()来衡量。
·
某城市全*市白天平均等效声级为55 dB
·
频程
·
我国规定的环境噪声常规监测项目为()、(
·
在一台机器半球辐射面上的5个测点,测得声