多做题,通过考试没问题!
电子与通信技术
睦霖题库
>
大学试题(工学)
>
电子与通信技术
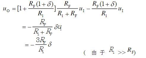
电路如图所示,R
1
>>R
F
,u
I
=3V试证明:u
O
=-(3R
F
/R
1
)δ
正确答案:
答案解析:
有
进入题库查看解析
微信扫一扫手机做题
最新试题
·
电路如图所示,要求: (1)指出反馈电路
·
电路如图所示,运算放大器的饱和电压为12
·
电路如图所示,要求: 当R1=∞
·
电路如图所示,R1=R2=R3=R,试写
·
如图所示积分电路中,R1=10k&Ome
·
电路如图所示为()。
·
电路如图所示,运算放大器的电源电压为±1
·
运算放大器电路如图所示,为恒压信号源。欲
·
集成运放级间耦合方式是()。
·
运算放大器电路如图所示,运算放大器的饱和
热门试题
·
电路如图所示,要求: (1)设i
·
电路如图所示,满足u
O
·
电路如图所示,能够实现u
O
·
路如图所示,双向稳压管D
Z
·
某一理想运算放大器开环工作,其所接电源电
·
电路如图所示,试求输出电压u
O
·
电路如图所示,通过调节电位器R
·
电路如图所示,R2=R4=R5=10kΩ
·
电路如图所示,求输出电压u
O<
·
电路如图所示,求输出电压u
O<