多做题,通过考试没问题!
环境科学技术及资源科学技术
睦霖题库
>
大学试题(理学)
>
环境科学技术及资源科学技术
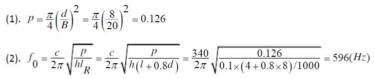
穿孔板厚4mm,孔径8mm,穿孔按正方形排列,孔距20mm,穿孔板后留有100mm厚的空气层,试求穿孔率和共振频率。
正确答案:
答案解析:
有
进入题库查看解析
微信扫一扫手机做题
最新试题
·
以下哪种介质中不可传递声波?()
·
简述振动污染特点。
·
简述影响材料吸声的因素。
·
声音构成一个声系统需要有三个要素:()、
·
自由声场
·
简述微穿孔板消声器的消声原理。
·
吸声是通过()和()来降低噪声的技术。
·
机械振动
·
简述什么是物理性污染及其特点。
·
三个声音各自在空间某点的声压级为70dB
热门试题
·
倍频程的每个频带的上限频率与下限频率之比
·
物理性污染的特点为()和()。
·
减容技术处理的方法有()或()两种。
·
简述双层隔声墙的隔声原理。
·
吻合效应
·
简述剂量限制体系中辐射防护的三项基本原则
·
振动污染源可分为()和()。
·
简述振动源分类。
·
某工人在91dB(A)下工作1h,90d
·
简述阻性消声器的消声原理。