多做题,通过考试没问题!

环境科学技术及资源科学技术

睦霖题库>大学试题(理学)>环境科学技术及资源科学技术

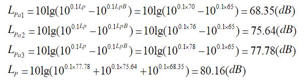
某测点的背景噪声为65dB,周围有三台机器,单独工作时,在测点处测得的声压分别为70dB、76dB、78dB,试求这三台机器同时工作时,在测点的总声压级。

正确答案:
答案解析:
进入题库查看解析

微信扫一扫手机做题