多做题,通过考试没问题!
巴陵石油化工树脂车间岗位知识
睦霖题库
>
企业文化企业建设知识竞赛
>
巴陵石油化工树脂车间岗位知识
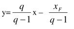
提馏段操作线方程:()
正确答案:
答案解析:
有
进入题库查看解析
微信扫一扫手机做题
最新试题
·
合格证应包含哪些内容?
·
燃烧的种类分为哪几种?
·
简述何谓压力容器?
·
环氧反应岗位投料时加入锌粉的目的是什么?
·
简述什么是元素?
·
压力容器上安全阀的主要作用是什么?
·
阐述原子的定义。
·
CYDPG-660生产反应岗位有哪些冷凝
·
下列关于氮气中毒的说法,正确的是()。
·
反应釜由哪些主要部分组成?
热门试题
·
经分析某批CYDPG-660产品的环氧值
·
在保证环氧氯丙烷投入量和其它工艺都不变的
·
简述什么是缩合反应?
·
反应结束加入MIBK后,釜内物料上层总是
·
生产DMP-30脱出的含苯酚和胺的废水应
·
离心泵主要的轴封装置分为机()、()两种
·
什么时候启动油泵?启停油泵前还要注意什么
·
滤网的目数越高,则网眼越()
·
屏蔽泵平衡管堵塞后,将给泵的运行造成什么
·
萃取分离,溶剂与原料液要有()的密度差,