多做题,通过考试没问题!
环境科学技术及资源科学技术
睦霖题库
>
大学试题(理学)
>
环境科学技术及资源科学技术
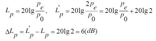
声压增大为原来的两倍时,声压级提高多少分贝?
正确答案:
答案解析:
有
进入题库查看解析
微信扫一扫手机做题
最新试题
·
简述为什么逆风传播的声音难以听清。
·
简述微穿孔板消声器的消声原理。
·
影响地球接受太阳辐射因素主要有两方面,一
·
热岛强度的变化与哪些因素有关?
·
吻合效应
·
公害振动发生的主频率范围大约为()HZ。
·
不得不在室内进行噪声测量时,测点距墙面和
·
高频失效
·
电磁波的传播途径有哪些?
·
电场的水平分量和垂直分量的相位相同或相反
热门试题
·
频率
·
放射性活量
·
什么是温室效应,主要的温室气体有哪些?
·
环境中放射性的来源主要有哪些?
·
《地表水环境质量标准》(GB3838-2
·
相干波
·
稳态噪声
·
噪声污染属于(),污染的特点是具有()、
·
声压级
·
人工辐射