多做题,通过考试没问题!

注册电气工程师

睦霖题库>其他建筑考试>注册电气工程师

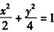
设C为椭圆其周长记为a,则曲线积分 的值是().

  • A、4a
  • B、6a
  • C、8a
  • D、10a
正确答案:C
答案解析:
进入题库查看解析

微信扫一扫手机做题