多做题,通过考试没问题!
高级系统架构师
睦霖题库
>
计算机软件水平考试
>
高级系统架构师
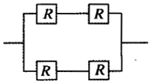
在下列所示系统中每个部件的可靠度都等于R(0
A、
B、
C、
D、
正确答案:
B
答案解析:
有
进入题库查看解析
微信扫一扫手机做题
最新试题
·
论信息系统建模方法 系统模型在软件开发
·
企业战略数据模型可分为两种类型:(
·
大型局域网通常划分为核心层、汇聚层和接入
·
虚拟化技术 博学公司计划建设一个企业
·
下列安全协议中,()能保证交易双方无法抵
·
网络系统生命周期可以划分为5个阶段,实施
·
企业战略数据模型可分为两种类型:(1)描
·
企业经常要对收集的原始数据进行处理,数据
·
标准化工作的任务是制定标准、组织实施标准
·
对ERP项目最恰当的定位是()
热门试题
·
建筑物综合布线系统中的垂直子系统是指()
·
进程P1、P2、P3、P4、P5的前趋图
·
某企业开发应用程序,要求调用传输层的安全
·
()是错误的网络设备选型原则。
·
结构化软件系统建模 博学公司拟开发一
·
用3个相同的元件组成如图11-7所示的一
·
假设需要把25盒磁带数据(每盒磁带数据量
·
博学公司欲实现一个数据处理软件,该软件需
·
软件架构贯穿于软件的整个生命周期,但在不
·
J2EE 某软件公司承担了某中