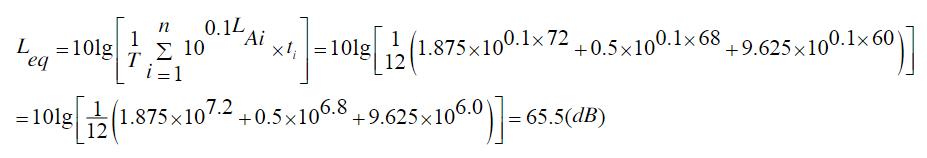
在铁路旁某处测得:当货车经过时,在2.5min内的平均声压级为72dB;客车通过1.5min内的平均声压级为68dB;无车通过时环境噪声约为60dB;该处白天12h内共有65列火车通过,其中货车45列、客车20列,计算该地点白天的等效连续声级。
正确答案:


答案解析:有

微信扫一扫手机做题
在铁路旁某处测得:当货车经过时,在2.5min内的平均声压级为72dB;客车通过1.5min内的平均声压级为68dB;无车通过时环境噪声约为60dB;该处白天12h内共有65列火车通过,其中货车45列、客车20列,计算该地点白天的等效连续声级。


微信扫一扫手机做题