根据Stoke’s定律,提出延缓混悬微粒沉降速率的措施。
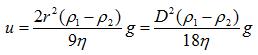
正确答案:沉降速度可用Stoke’s定律描述:

其中u为沉降速度(cm/s);r为微粒半径(cm);ρ1和ρ2分别为微粒和分散介质的密度(g/ml);g为重力加速度(980cm/s2);η为分散介质的粘度(泊=g/cm.s).
使用Stokes定律计算的沉降速度要比实际速度大。
增加混悬剂稳定性,降低沉降速度的方法:
减小微粒半径;加入高分子助悬剂,增加介质粘度,减小密度差,微粒吸附助悬剂增加亲水性。

其中u为沉降速度(cm/s);r为微粒半径(cm);ρ1和ρ2分别为微粒和分散介质的密度(g/ml);g为重力加速度(980cm/s2);η为分散介质的粘度(泊=g/cm.s).
使用Stokes定律计算的沉降速度要比实际速度大。
增加混悬剂稳定性,降低沉降速度的方法:
减小微粒半径;加入高分子助悬剂,增加介质粘度,减小密度差,微粒吸附助悬剂增加亲水性。
答案解析:有

微信扫一扫手机做题
