多做题,通过考试没问题!
证券投资分析
睦霖题库
>
证券从业
>
证券投资分析
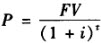
下列属于债券估值模型特性的是()。
A、零息债券的定价公式为
B、附息债券可以视为一组零息债券的组合
C、累息债券可多次付息
D、零息债券以折价发行
正确答案:
A,B,D
答案解析:
有
进入题库查看解析
微信扫一扫手机做题
最新试题
·
下列属于股票价格走势的压力线特性的是()
·
收入和增长混合型证券组合主要投资于()。
·
在财政收支平衡条件下,财政支出的总量也能
·
1964年、1965年和1966年,()
·
我国《证券法》第七十九条规定,投资者持有
·
葛兰威尔法则中,以下为卖出信号的是()。
·
公司的经济环境和经营条件发生变化后,财务
·
投资者预期未来一段时间可以收到一笔资金,
·
利率期限结构的形成主要是由()决定的。
·
债券的嵌入式期权条款包括()。
热门试题
·
由于我国人民币实行贸易项下的自由兑换和资
·
当期货市场上不存在与需要保值的现货一致的
·
()是影响债券定价的外部因素。
·
证券经纪业务的基本要素是()。
·
在不许卖空的情况下,两种完全负相关的证券
·
行为金融理论挑战了经典投资理论的两大假设
·
与开放式基金不相关的价格或费用是()。
·
一般情况下,营业周期、流动资产中的应收账
·
关于货币因素与实体经济的传导机制,下列说
·
寡头垄断型市场结构的特点是()。