多做题,通过考试没问题!

环境科学技术及资源科学技术

睦霖题库>大学试题(理学)>环境科学技术及资源科学技术

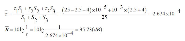
隔声间有一面积为25m2的墙与噪声源相隔,该墙投射系数为10-5,在该墙上开一面积为2.5m2的门,其投射系数为10-3,另还开一面积为4m2的门,其投射系数为10-3,求该组合墙的平均隔声量。

正确答案:
答案解析:
进入题库查看解析

微信扫一扫手机做题