多做题,通过考试没问题!
MATLAB语言考试
睦霖题库
>
其他计算机考试
>
MATLAB语言考试
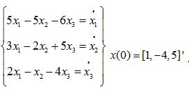
求解微分方程
正确答案:
答案解析:
有
进入题库查看解析
微信扫一扫手机做题
最新试题
·
if语句有几种表现形式?
·
输入一个百分制成绩,要求输出成绩等级A
·
说明break语句和return语句的用
·
解方程组
·
绘制曲线,x的取值范围为[-5,5]。
·
利用cat函数建立多维阵列。
·
利用rand函数产生(0,1)间的均匀分
·
在MATLAB中如何建立矩阵,并将其赋予
·
求矩阵的行列式值、逆和特征根。
·
编写程序计算x在(-3,3)上,并画出曲
热门试题
·
求矩阵的逆矩阵和行列式。
·
命令历史窗口除了可以观察前面键入的命令外
·
下列MATLAB命令中,求矩阵A的特征值
·
计算表达式的梯度并绘图。
·
在MATLAB语言中,下列哪个命令是求矩
·
求约瑟夫环。
·
表中列出了4个观测点的6次测量数据,将数
·
在MATLAB语言中,提示其后语句为输入
·
计算多项式除法(3x
3
·
计算的数组乘积。