多做题,通过考试没问题!
MATLAB语言考试
睦霖题库
>
其他计算机考试
>
MATLAB语言考试
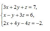
解方程组
正确答案:
答案解析:
有
进入题库查看解析
微信扫一扫手机做题
最新试题
·
在MATLAB语言中,如果一个命令行很长
·
数组运算和矩阵运算的运算符有什么区别?
·
求代数方程的根。
·
求解多项式x
3
-7
·
计算矩阵之和
·
产生一均匀分布在(-5,5)之间的随机阵
·
编写程序完成从表示字符的响亮中删去空格,
·
角度求x的正弦、余弦、正切和余切。
·
求常微分方程组通解的MATLAB程序。
·
定义一个函数文件,求给定复数的指数、对数
热门试题
·
如果x是一个结构型数组,如何观察其中的内
·
做一个带按钮的界面,当按动按钮时,在计算
·
利用rand函数产生(0,1)间的均匀分
·
绘制曲线,x的取值范围为[-5,5]。
·
计算多项式乘法(x
2
·
在MATLAB语言中,提示其后语句为输入
·
存储在工作空间中的数组能编辑吗?如何操作
·
解线性方程组:
·
求的算术运算结果。
·
观察a与b之间的六种关系运算的结果。