多做题,通过考试没问题!
MATLAB语言考试
睦霖题库
>
其他计算机考试
>
MATLAB语言考试
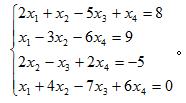
解线性方程组:
正确答案:
>>a=[2,1,-5,1;1,-3,0,-6;0,2,-1,2;1,4,-7,6];b=[8;9;-5;0];
>>x=a/b
答案解析:
有
进入题库查看解析
微信扫一扫手机做题
最新试题
·
求解在x=8时多项式(x-1)(x-2)
·
利用MATLAB函数产生多维阵列。
·
计算多项式除法(3x
3
·
从键盘输入若干个数,当输入0时结束输入
·
用四舍五入的方法将数组[2.4568
·
利用基本矩阵产生3*3和15*8的单位矩
·
建立一个简单模型,用信号发生器产生一个幅
·
将图形窗口分成两个,分别绘制以下函数在
·
编写程序计算x在(-3,3)上,并画出曲
·
生成下列字符串,并采用double函数查
热门试题
·
求解微分方程
·
设A为4阶魔术矩阵,分别对A进行如下操
·
求的算术运算结果。
·
在进行算术运算时,数组运算和矩阵运算各有
·
若只知要搜索函数的前两个字母,可用()命
·
解线性方程组:
·
求解多项式x
3
-7
·
做一个花瓶,如图示。(提示:做一个旋转体
·
创建多项式
·
用符号函数法求解方程at
2