多做题,通过考试没问题!

环境科学技术及资源科学技术

睦霖题库>大学试题(理学)>环境科学技术及资源科学技术

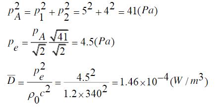
已知空气密度ρ0=1.21kg/m3、空气声速c=340/ms。若两不相干波在声场某点的声压幅值分别为5Pa 和4Pa ,问在该点的总声压(有效声压)和平均声能密度是多少?

正确答案:
答案解析:
进入题库查看解析

微信扫一扫手机做题