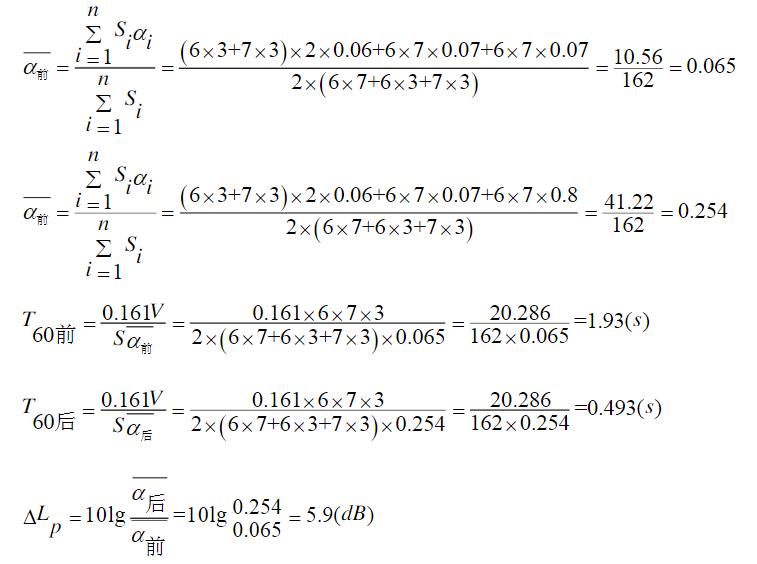
某房间尺寸为6m×7m×3m,墙壁、天花板和地板在1kHz时的吸声系数分别为0.06、0.07和0.07。若安装一个在1kHz倍频带内,吸声系数为0.8的吸声贴面花板,求该频带在吸声处理前后的混响时间及处理后的吸声减速噪量。
正确答案:
答案解析:有

微信扫一扫手机做题
某房间尺寸为6m×7m×3m,墙壁、天花板和地板在1kHz时的吸声系数分别为0.06、0.07和0.07。若安装一个在1kHz倍频带内,吸声系数为0.8的吸声贴面花板,求该频带在吸声处理前后的混响时间及处理后的吸声减速噪量。

微信扫一扫手机做题